基于气相色谱的质子交换膜燃料电池用氢气中无机组分和总烃的快速分析方法

天然气工业2022 ,42 (S1):186-192

 

【研究背景】

氢能源具有清洁高效、储运方便、来源广泛、能量密度大的特点,作为理想的能源载体在我国的能源转型和“双碳目标”实现的过程中发挥着巨大作用。质子交换膜燃料电池汽车(PEMFC)作为氢能应用的主要场景,它通过燃料电池把化学能直接转换为电能,有效地解决了燃油车的排放污染问题。氢气作为燃料电池的能量来源,其质量的优劣将直接影响燃料电池稳定运行和使用寿命,CO、CH4、THC、CO2、Ar、O2、He、N2等无机组分和总烃组分是影响质子交换膜燃料电池用氢气质量的关键技术指标,国内外的标准对其限值指标做了明确的规定。参考目前的分析方法标准,要实现这些组分的分析,需要借助脉冲放电氦离子化气相色谱仪(GC-PDHID)、氦离子化气相色谱仪(GC-HID)、热导气相色谱仪(GC-TCD)、带甲烷转化器的氢火焰离子化气相色谱仪(GC-FID+MTN)、喷吹脉冲注射气质联用仪(GC-MS)、电化学法等多种仪器的联合使用 ,方法操作相对复杂,成本较高。因此,需要开发简捷高效,实现燃料电池用氢中无机组分和总烃有效分离和准确定性定量分析的方法。

【方法与结论】

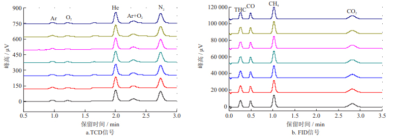
研究人员使用称量法制备的气体标准物质,采用配备TCD和FID+MTN气相色谱仪,通过三阀四柱的样品进样和分离方式,其中He、N2、O2、Ar用TCD进行分析,CH4和总烃用FID分析,CO和CO2经镍转化炉(MTN)后进入FID分析,实现了一台分析仪器对质子交换膜燃料电池用氢气中无机组分和总烃的高效快速分析,并对方法的重复性、线性、检出限等方法性能指标做了系统的研究。该方法可以在一次进样的前提下,4 min内实现组分的有效分离和准确定性定量分析。无机组分和总烃组分在各自的浓度范围内相关系数大于0.995,CO、CH4、THC、CO2、Ar、O2、He、N2检出限分别为0.033 μmol/mol、0.039 μmol/mol、0.039 μmol/mol、0.14 μmol/mol、0.25 μmol/mol、0.32 μmol/mol、9.5 μmol/mol和1.7 μmol/mol,满足了对质子交换膜燃料电池用氢气中无机组分和总烃组分分析的要求,进一步完善了质子交换膜燃料电池用氢气质量的分析方法标准体系。

journal7-img6

图1 实验用气相色谱仪流程示意图

journal7-img6

图2 氢中无机气体和总烃组分气体标准物质样品连续7次进样色谱图/p>

journal7-img6

图3 氢中无机气体和总烃组分气体标准物质样品的线性曲线图