通过构建多拷贝整合质粒,实现解脂亚洛酵母高效稳定,多拷贝表达
期刊:Metabolic Engineering
期刊影响因子:11.7
关联机种:LC-20,应用LC-20进行合成产物(2S)-柚皮素和对香豆酸的检测
YaliCMulti and YaliHMulti: Stable, efficient multi-copy integration tools
for engineering Yarrowia lipolytica.
a Engineering Research Center of Ministry of Education on Food Synthetic Biotechnology, Jiangnan University, 1800 Lihu Road, Wuxi, Jiangsu, 214122, China.
b School of Biotechnology, Jiangnan University, 1800 Lihu Road, Wuxi, Jiangsu, 214122, China.
c Science Center for Future Foods, Jiangnan University, 1800 Lihu Road, Wuxi, Jiangsu, 214122, China.
d Jiangsu Provisional Research Center for Bioactive Product Processing Technology, Jiangnan University, 1800 Lihu Road, Wuxi, Jiangsu, 214122, China.
Metabolic Engineering 82 (2024) 29–40
ABSTRACT: Yarrowia lipolytica is widely used in biotechnology to produce recombinant proteins, food ingredients and diverse natural products. However, unstable expression of plasmids, difficult and time-consuming integration of single and low-copy-number plasmids hampers the construction of efficient production pathways and application to industrial production. Here, by exploiting sequence diversity in the long terminal repeats (LTRs) of retrotransposons and ribosomal DNA (rDNA) sequences, a set of vectors and methods that can recycle multiple and high-copy-number plasmids was developed that can achieve stable integration of long-pathway genes in Y. lipolytica. By combining these sequences, amino acids and antibiotic tags with the Cre-LoxP system, a series of multi-copy site integration recyclable vectors were constructed and assessed using the green fluorescent protein (HrGFP) reporter system. Furthermore, by combining the consensus sequence with the vector backbone of a rapidly degrading selective marker and a weak promoter, multiple integrated high-copy-number vectors were obtained and high levels of stable HrGFP expression were achieved. To validate the universality of the tools, simple integration of essential biosynthesis modules was explored, and 7.3 g/L of L-ergothioneine and 8.3 g/L of (2S)-naringenin were achieved in a 5 L fermenter, the highest titres reported to date for Y. lipolytica. These novel multi-copy genome integration strategies provide convenient and effective tools for further metabolic engineering of Y. lipolytica.
【研究背景】
为了生产工业化合物,通常需要将异源途径和内源基因插入到基因组中,以实现稳定的遗传和相应的代谢工程改造,例如平衡或过度表达某些途径基因。研究表明,较高的通路基因拷贝数拥有更高的转录水平,从而提高生产效率。产油酵母解脂亚洛酵母由于其天然的细胞内疏水环境、大量的乙酰辅酶A、丙二酰辅酶A、NADPH、ATP和其他重要分子的通量以及可以利用葡萄糖、脂肪和烷烃作为底物的能力,已成为生物合成萜类、黄酮类和生物碱的一个有吸引力的宿主。然而,在解脂亚洛酵母中游离质粒表达不稳定以及没有高拷贝数的质粒。在大规模发酵中,往往需要将代谢途径整合到基因组中,以保持多代的稳定生产。此外,解脂亚洛酵母的基因组修复模式主要依赖于非同源末端连接(NHEJ)而不是同源重组(HR),使用Cas9系统进行精确的位点特异性进行多轮基因组整合以提高基因拷贝数往往耗时费力。因此,需要开发多拷贝的生物学工具将基因的多个拷贝单轮次整合到解脂亚洛酵母基因组中,以维持目标化合物的稳定生产。
【方法与结论】
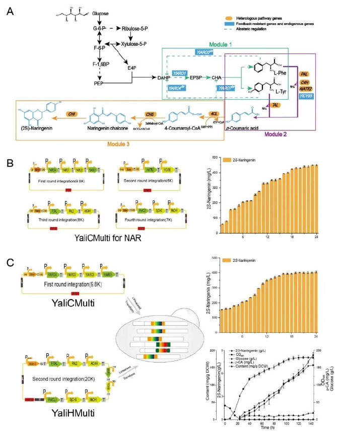
研究人员利用逆转录转座子和核糖体DNA (rDNA)序列的长末端重复序列(LTR)序列多样性,将这些LTR序列、氨基酸和抗生素标签与Cre-LoxP系统相结合,构建了一套迭代回收的多拷贝整合质粒YaliCMulti,可实现长通路基因在解脂亚洛酵母中的稳定整合和多拷贝表达。随后,对现有氨基酸标签的密码子进行负优化,在蛋白序列的C端融合降解信号肽,并替换启动子为弱启动子(PLEU2),获得了20个高效整合的质粒载体YaliHMulti,HrGFP的荧光强度相比于YaliCMulti提高了2-5倍。为了验证这些工具的通用性,利用YaliCMulti和YaliHMulti分别整合9.8 Kb和20 Kb的(2S)-柚皮素合成路径,5 L发酵罐中(2S)-柚皮素产量达到8.3 g/L,是迄今为止公开报道的最高产量。这些多拷贝整合工具为解脂亚洛酵母的进一步代谢工程提供了方便有效的工具。

图1 解脂亚洛酵母中LTRs分布

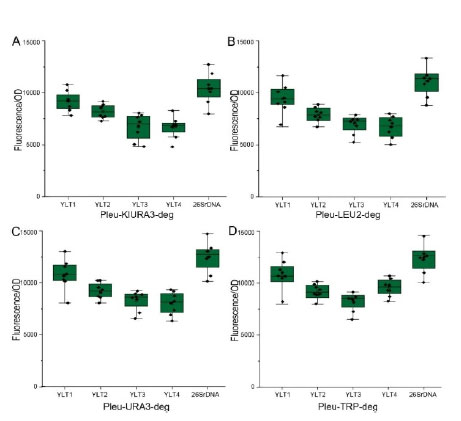
图2 YLT1-YLT4转座序列的功能分析

图3 YaliCMulti工具构建与使用示意图
图4 使用YaliCMulti工具表达HrGFP荧光蛋白

图5 YaliHMulti工具构建与使用示意图
图6 使用YaliHMulti工具表达HrGFP荧光蛋白

图7 YaliCMulti and YaliHMulti工具在(2S)-柚皮素合成中的应用