GC-MS/MS法测定动物源性食品中类二噁英-多氯联苯
合作应用:GC-MS/MS法测定动物源性食品中类二噁英-多氯联苯GCMSMS-187
【摘要】
本文介绍了一种气相色谱-三重四极杆质谱法(GC-MS/MS)测定动物源性食品中12种类二噁英-多氯联苯(DL-PCBs)的分析方法。使用岛津 GCMS-TQ8050 NX仪器结合BEIS离子源,使用PCBs Smart Database数据库,建立 12种DL-PCBs分析方法并进行检测,采用13C标记同位素内标法定量。结果表明,12种DL-PCBs分离良好,在标样浓度范围内(0.2~50ng/mL)具有良好的线性(r2 >0.999, RRF RSD%<7.8 %)。利用本方法测定了 2 类动物源性食品(鲱鱼,牛肉)中类二噁英-多氯联苯的浓度,其检测结果与高分辨气相色谱/高分辨质谱法(HRGC/HRMS)结果具有良好的一致性,说明此方法可用于动物源性食品中痕量DL-PCBs的检测分析。

图1 PCBs 谱图(68C-CS1),峰号对应目标物参见表1
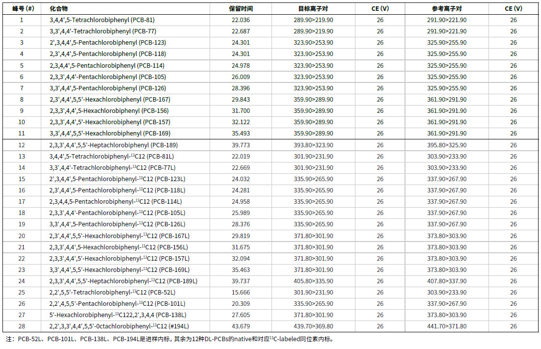
表1 DL-PCBs 同系物和13C 标记同位素内标的保留时间及MRM 条件设置


图2 部分化合物的标准曲线
表2 DL-PCBs 校准曲线的相关系数、同系物的平均响应因子和定量限(ng/mL)


图3 鲱鱼样品中的DL-PCBs 同系物组分分布图

图4 牛肉样品中的 DL-PCBs 同系物组分分布图