短链和中链氯化石蜡在蜜蜂(Apis mellifera L.)组织中的特异性蓄积
期刊:Environmental Science and Technology
期刊影响因子:10.8(2023 年)
关联机种:GC×GC-qMS,采用岛津全二维气相色谱- 负化学电离源- 三重四极杆串联质谱(GC×GC-NCI-MS/MS, TQ8040)对蜜蜂组织样品中的短链氯化石蜡SCCPs(C10-13Cl6-10)和中链氯化石蜡MCCPs(C14-17Cl6-10)进行分析检测。
Tissue-specific accumulation of orally administered short-
and medium-chain chlorinated paraffins in honeybees (Apis mellifera L.)
Peilong Wang*, Liming Wu*
Shujun Dong − Institute of Quality Standards and Testing Technology for Agro-Products, Chinese Academy of Agricultural Sciences, Beijing 100081, China;
Suzhen Qi − State Key Laboratory of Resource Insects, Institute of Apicultural Research, Chinese Academy of Agricultural Sciences, Beijing 100093, China;
Peilong Wang − Institute of Quality Standards and Testing Technology for Agro-Products, Chinese Academy of Agricultural Sciences, Beijing 100081, China;
Liming Wu − State Key Laboratory of Resource Insects, Institute of Apicultural Research, Chinese Academy of Agricultural Sciences, Beijing 100093, China;
#S. Dong and S. Qi contributed equally to this work.
https://doi.org/10.1021/acs.est.4c02045
Environmental Science & Technology, 2024, 58(31):13658-13667.
【ABSTRACT】
The prevalence and distribution of chlorinated paraffins (CPs) have been extensively studied in various matrices and organisms; however, there is a lack of information about insects, particularly in honeybees. To address this gap, we studied young honeybee workers exposed to short- and medium-chain CPs (SCCPs and MCCPs) at an environmentally relevant concentration of 10 mg/L for 7 days, followed by a 7-day elimination period. Results indicated that CPs could transfer into the head after oral consumption and SCCPs and MCCPs exhibited clear bioaccumu-lation trends: midgut > hindgut > head. An evaluation of congener group distribution patterns demonstrated that the dominant congener groups in all target tissues were C11-13Cl7-8 and C14Cl7-8 for SCCPs and MCCPs, respectively, consistent with the treated CP standards. In honeybees, a significant negative relationship was observed for the log concentration of MCCP congener groups and their log Kow, but not with their log KOA. Conversely, no such correlation was found for SCCPs. These findings suggest that honeybees have a high potential to bioaccumulate MCCPs, particularly those with a low log Kow, and exhibit weak selectivity for SCCPs.
【研究背景】
氯化石蜡(CPs)是一类正构烷烃的氯代衍生物,常用作塑料、橡胶、染料、粘合剂等的塑化剂和阻燃剂。根据碳链长度的不同,CPs通常被分为短链(SCCPs)、中链(MCCPs)和长链氯化石蜡(LCCPs)。CPs具有环境持久性,广泛存在于多类环境介质和生物体中,对生态环境和人体健康具有潜在的危害。即使在偏远的两极和青藏高原地区,以及人体血液和母乳中也存在CPs的污染。CPs在生物体内的蓄积分布主要受其同类物碳链长度和氯取代数的影响,同时也与季节、温度以及生物组织中的脂肪含量有关。研究表明,CPs在可食用及野生昆虫体内含量较高。然而,CPs在昆虫不同组织中的蓄积分布尚缺少系统研究。
蜜蜂 (Apis mellifera L.)对农业生产和生态环境具有重要的作用。蜜蜂对环境污染物高度敏感,是生态健康的重要生物指示物。我们前期研究发现,蜜蜂及蜂产品(蜂蜜、蜂花粉、蜂蜡等)中存在SCCPs和MCCPs的普遍污染,且蜜蜂体内CPs含量较高,表明CPs容易在蜜蜂体内蓄积;经口摄入含SCCPs和MCCPs的蜂蜜会对蜜蜂健康造成不利影响,破坏肠道微生物平衡,导致免疫压力。因此,揭示CPs在蜜蜂不同组织中的蓄积分布特征,解析影响其蓄积分布的影响因素,对保护蜜蜂健康和生态环境具有重要意义。
【方法与结果】
本研究考察了蜜蜂分别经口暴露SCCPs 和MCCPs 后,后肠、中肠和头部中SCCPs 和MCCPs 的蓄积代谢动力学,暴露期7 天,清除期7 天,暴露浓度均为10 mg/L(图1A)。实验分为对照组、SCCPs 暴露组和MCCPs 暴露组,每组三个重复,每个重复25 只蜜蜂(1 日龄)。采用涡旋振荡提取法对蜜蜂中肠、后肠和头部样品中的CPs 进行提取,利用岛津全二维气相色谱-负化学电离源- 三重四极杆串联质谱(GC×GC-NCI-MS/MS, TQ8040)对样品中的24 组SCCPs(C10-13Cl6-10)和24 组MCCPs(C14-17Cl6-10)进行分析检测(图1B)。
对照组、SCCPs 暴露组和MCCPs 暴露组蜜蜂死亡率分别为3.1%、4.0% 和5.1%。不同组之间蜜蜂死亡率、食物摄入量及体重变化差异并不显著。对照组蜜蜂组织样品中SCCPs 和MCCPs 含量远低于暴露组样品。随着暴露时间的延长,蜜蜂中肠、后肠和头中SCCPs 和MCCPs 含量均呈现显著上升趋势,在清除期则呈下降趋势(图2A 和3A)。暴露期结束时,蜜蜂组织中SCCPs 和MCCPs 含量最高,其中蜜蜂中肠ΣSCCPs 和ΣMCCPs 含量分别为26,010 ± 2270 和57,900 ± 3640 ng/g,后肠ΣSCCPs 和ΣMCCPs 含量分别为13,800 ± 1580 和19,700 ± 2110 ng/g,头部ΣSCCPs 和ΣMCCPs 含量分别为3640 ±244 和5040 ±601 ng/g,表明SCCPs 和MCCPs 容易在蜜蜂肠道中蓄积,且能够向头部转移并蓄积。在暴露期,蜜蜂组织中SCCPs 和MCCPs 含量分布规律为:中肠 > 后肠 > 头;清除期,SCCPs 和MCCPs 含量则为后肠 > 中肠 > 头,表明中肠内的SCCPs 和MCCPs 能够向后肠迁移,且不易清除。此外,SCCPs 和MCCPs 在蜜蜂中肠内的蓄积和清除速率均大于后肠和头。
蜜蜂组织中SCCPs 和MCCPs 同类物分布特征与暴露所用标准品相似,C13Cl6-8 和C14Cl7-8 分别为主要贡献同类物,且在清除期能够达到平衡,但在实验过程中CPs 同类物也存在变化。SCCPs 而言,蜜蜂中肠内C10 占比从8.6%(D1)升高至31.1%(D14),而后肠中C10 占比从18.7%(D1)下降至7.1%(D14);D1 蜜蜂头部C13 占比为32.1%,并在暴露期维持在29.3%-33.8%,但在D14 下降至16.7%(图2B)。蜜蜂不同组织中Cl5、Cl 9 和Cl10 在总SCCPs 占比较低,为2%-10%;中肠内Cl6和Cl8 占比相似,约为SCCPs 总量的25%,而Cl7 在暴露期占比为34.8%-41.4%,清除期降至31.7%-28.3%(图2C)。MCCPs 而言,C14 是最主要的同类物,在蜜蜂肠道中占比为66%-71%,头部占比为74%-81%,其余同类物占比则是C15 >C16 > C17(图3B);不同MCCPs 氯取代同类物占比在不同样品中变化并不显著,均为Cl7 > Cl8 > Cl6 > Cl9 > Cl5 > Cl10(图3C)。
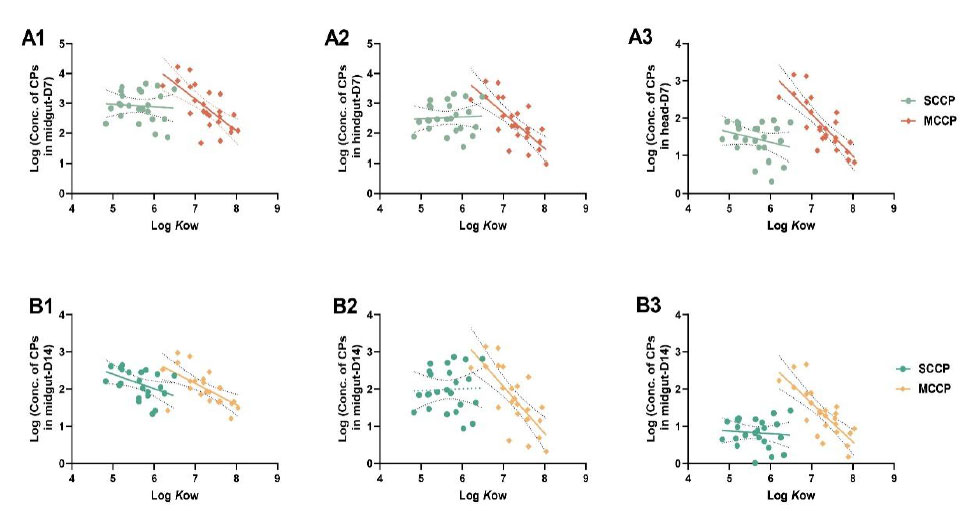
SCCPs 和MCCPs 同类物具有较高的脂溶性和正辛醇-水分配系数(Kow),致使其具有较高的生物蓄积性,容易在生物体脂肪组织中蓄积。蜜蜂中肠、后肠和头部MCCPs 同类物在D7 蓄积量(Log conc.)与其Log Kow 呈显著相关性,而SCCPs 则无此规律(图4A)。然而,蜜蜂组织中MCCPs 同类物在D14 的Log conc. 与Log Kow 呈显著负相关,同时蜜蜂中肠SCCPs 同类物也与其Log Kow 呈显著负相关,而后肠和头中并未发现类似规律(图4B)。以上结果表明,MCCPs 在蜜蜂体内的蓄积- 消除比SCCPs 更具有同类物特异性,低Kow 的同类物更容易在蜜蜂体内蓄积,但难以消除。

图1( A)蜜蜂暴露实验和(B)蜜蜂组织中CPs 检测流程

图2 蜜蜂中肠、后肠和头部(A)SCCPs 含量变化及(B 和C)同类物分布特征

图3 蜜蜂中肠、后肠和头部(A)MCCPs 含量变化及(B 和C)同类物分布特征

图4( A)暴露期末期(D7)和(B)清除期末期(D14)蜜蜂中肠、后肠和头部CPs 含量与KOW的相关性